高光谱成像仪高光谱数据常见预处理方法及步骤
发布时间:2025-07-25
浏览次数:320
高光谱成像仪获取的光谱数据含有很多冗余的信息,这时候就需要进行光谱数据的预处理,通过预处理可以提高数据质量、降低数据维度、提取有效特征、校正数据、增强数据等,为后续的分析和应用提供更可靠的数据基础。本文对高光谱成像仪高光谱数据常见预处理方法及步骤做了介绍。
高光谱成像仪获取的光谱数据含有很多冗余的信息,这时候就需要进行光谱数据的预处理,通过预处理可以提高数据质量、降低数据维度、提取有效特征、校正数据、增强数据等,为后续的分析和应用提供更可靠的数据基础。本文对高光谱成像仪高光谱数据常见预处理方法及步骤做了介绍。

SG平滑滤波处理方法:
SG滤波的基本思想是利用多项式拟合来近似原始数据,然后使用拟合曲线来估计平滑后的数值。它的主要步骤包括以下几个部分:
1.窗口选择:首先需要选择一个窗口大小,窗口的大小决定了用于拟合多项式的数据点的数量。通常窗口大小是奇数,以确保对称性。
2.多项式拟合:在每个窗口内,使用最小二乘法进行多项式拟合。通常选择的是低阶多项式,如线性或二次多项式。
3.平滑处理:对于每个窗口,使用拟合的多项式来估计中心点的数值,作为平滑后的结果。
SG滤波相比于一般的移动平均滤波具有保留了原始数据的整体趋势,不会产生明显的偏移,对于高频噪声的抑制效果更好,能够更好地保留信号的特征等优势。需要注意的是,SG滤波在平滑数据的同时也会引入一定程度的相位延迟,因此在应用时需要考虑这一影响。
标准正态变换处理方法:
标准正态变换主要作用是将任意分布的光谱数据转换为正态分布,即均值为0,方差为1的正态分布,有助于研究人员更好的分析和比较光谱数据。其预处理步骤如下:
(1)收集需要进行标准正态变换的光谱数据
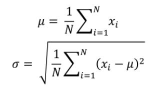
(2)计算光谱数据集的均值μ和标准差ρ,其公式如下:

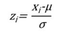
(3)对于每个光谱数据点xi,使用以下公式进行标准正态变换:

其中,Zi代表经过转换后的值。
标准正态变换常用于统计比较、回归分析、异常值检测以及数据可视化等场景。用以提高数据的可解释性和分析性。
多元散射校正处理方法:
多元散射校正最开始是在遥感领域考虑到大气中光的散射现象,尤其是多次散射效应,为了更准确还原观测的遥感信号而提出的。在大气传输中,光线在大气中的传播会发生多次散射,导致地表信号包含了不同方向的光线。这种多次散射效应使得遥感信号呈现出复杂的混合特性,需要进行校正以提取地表特征。而室内的高光谱数据其实也面临着这一问题。在室内条件下,光在不同材料表面的散射也会导致混合效应。这包括来自不同方向的多次散射,使得观测到的光谱信号变得复杂,包含多个表面的反射和散射成分。经过多次散射会使高光谱数据的解释变得更加复杂,对反射率以及定量分析的准确性都会造成影响。通过多元散射校正有助于确保获取的信息更具可靠性、确保定量分析的准确性、提高数据之间的一致性以及有助于光谱数据的准确性和可解释性。
相关产品
-
“地质一号”首批数据在汉发布 卫星精准识别新疆一处特定矿物分布
湖北日报讯(记者张歆、通讯员冯如意、孙彦钦)10月25日,第九届全国成像光谱对地观测学术研讨会在武汉开幕。开幕式上,我国首颗地质行业高光谱遥感卫星“地质一号”发..
-
山东省农业科学院:红茶中外源添加合成色素的高光谱快速检测方法
近日,茶叶所在《Food Chemistry:X》(中科院一区TOP,IF=8.2)期刊发表了题为“Rapid detection of synthetic p..
-
工业相机定制化开发全流程解析
工业相机定制是从需求分析到量产交付的系统工程,通过科学的流程管理和专业的技术方案,为机器视觉应用提供精准的成像解决方案。..
-
红外光光谱范围是多少?应用行业有哪些?
红外光作为电磁波谱中承上启下的关键波段,其精确的光谱范围界定和特性理解,对通信、遥感、医疗等现代科技领域具有基础性重要意义。本文简单介绍了红外光光谱范围与应用..













