高光谱成像仪非平面光栅分光和棱镜分光的原理
发布时间:2025-08-22
浏览次数:366
高光谱成像仪按照分光方式的不同,可以分为不同的类型,其中比较常见的就是色散型成像光谱仪。而色散型成像光谱仪根据其分光器件的不同又可分为平面光栅光谱仪、非平面光栅光谱仪和棱镜分光光谱仪。本文对高光谱成像仪非平面光栅分光和棱镜分光的原理做了介绍。
高光谱成像仪按照分光方式的不同,可以分为不同的类型,其中比较常见的就是色散型成像光谱仪。而色散型成像光谱仪根据其分光器件的不同又可分为平面光栅光谱仪、非平面光栅光谱仪和棱镜分光光谱仪。本文对高光谱成像仪非平面光栅分光和棱镜分光的原理做了介绍。

高光谱成像仪非平面光栅分光原理:
凸面光栅和凹面光栅都可将其称之为非平面光栅。凸面光栅通常呈现对称分布结构,光能量利用效率高,像质稳定性较强,机械结构简单,可以在一定程度上能够抵消恶劣环境对光谱仪状态的影响,因此常常在研发航天用途的高光谱载荷时使用。但生产凸面光栅所耗费的社会必要劳动时间较多,且仪器的光学装调和像质校正较难,元件的获取渠道稀缺。凹面光栅光谱仪的光路结构简单,体积较小。由于凹面光栅会带来较大的光谱弯曲,且温度适应范围一般,因此通常将四面光栅集成在非成像领域的小型光谱设备当中。但是由于非平面光栅在衍射时会使波长较长的电磁波叠加在波长较小的衍射主极大位置,因此,那些探测波长范围较大的光谱仪并不适合采用非平面光栅器件。此外,光栅分光的过程会损耗入射光的能量,不利于仪器信噪比的提升。
高光谱成像仪棱镜分光的原理:
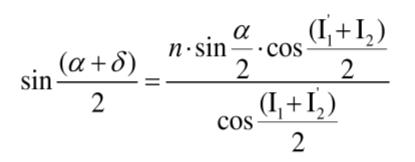
为弥补光栅光谱仪的不足之处,利用棱镜对不同波长电磁波有不同折射率的物理规律实现光谱分离的棱镜光谱仪具有很高的光谱效率,且不会发生光谱混叠的现象。棱镜分光的光学原理式如下所示:

其中α为棱镜顶角,δ为棱镜的偏向角,I1为平行入射光与棱镜法线方向的夹角,I1为棱镜对入射光第一次折射的折射角,I2和I2分别为棱镜对入射光第二次折射的入射角和折射角。当棱镜的顶角很小时,光楔就是棱镜分光最经典的具体应用之一。然而,棱镜光谱仪的分光是非线性的,会在探测器上引入较大的光谱弯曲,并不大适用于较大通光孔径的光谱光学系统。此外,从上式中我们也可以看出,棱镜对入射光有规律的色散是基于入射平行光与法线之间有固定夹角的前提下才得以实现的,因此,针对有一定视场角的棱镜光谱仪而言,其光学系统必须经过特殊设计才能获得较好的像质和较为稳定的光谱响应曲线。
相关产品
-
高光谱技术开启云冈石窟数字化保护“光谱时代”
央广网太原2月6日消息(记者张洁 温雅慧)五年光阴,于千年文物来说,不过转瞬即逝,但对于文保工作者,却是长情守护。全国人大代表,云冈研究院院长杭侃列席山西省十四..
-
三恩时集团马年春节服务指南:暖心守护,助您安心备货
亲爱的合作伙伴们,马年春节的脚步越来越近了,一年一度的物流高峰也即将到来,您的备货计划是否已做好?不妨先来看看,三恩时集团马年春节服务指南。..
-
暖心相伴迎马年:三恩时集团春节福利温暖启程
随着农历马年春节的临近,三恩时集团广州总部洋溢着一片温馨祥和的气氛。1月5日下午,一场精心筹备的员工福利发放活动在总部办公楼内展开,每位员工都收到了公司特别准备..
-
高光谱图像数据中的图像信息怎么处理?
高光谱成像仪获取的光谱信息中包含图像信息和光谱信息,对光谱数据中的图像信息进行处理,可以减少噪音,保证预测模型建立的准确性。那么,高光谱图像数据中的图像信息怎么..













