高光谱数据预处理方法之多元散射校正法
发布时间:2025-11-21
浏览次数:189
高光谱成像仪在采集数据的过程中容易受到类似仪器性能、样本背景、电噪音等因素的影响,这导致获得的光谱信号受噪音的干扰。所以,在得到所有样品的原始光谱以后,需要对其进行预处理来提高光谱数据的信噪比。本文对高光谱数据预处理方法之多元散射校正处理法步骤做了简要的介绍。
高光谱成像仪在采集数据的过程中容易受到类似仪器性能、样本背景、电噪音等因素的影响,这导致获得的光谱信号受噪音的干扰。所以,在得到所有样品的原始光谱以后,需要对其进行预处理来提高光谱数据的信噪比。本文对高光谱数据预处理方法之多元散射校正处理法步骤做了简要的介绍。

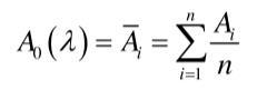
多元散射校正能够有效消除散射的影响,进而增强和成分含量对应光谱的吸收信息。该算法首先需要建立待测样品的“理想光谱”,即光谱的变化值与样品的成分含量满足线性关系。然后,基于该“理想光谱”对其他样品的光谱进行修正。可实际应用中,获取“理想光谱”非常困难,所以常常取所有样品光谱的平均值来近似代替。相应的算法步骤如下:
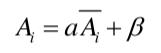
1.根据最小二乘法确定α和β值,把所有待测样品的光谱A(λ)变换成假想的基准粒度光谱A0(λ)。假设这两个参数的推定值为α'和β',根据公上式变换可得到下式:

2.基于整体样品的平均光谱值求得α'和β'的基准粒度光谱,如下式所示:

3.线性回归方程:

式中A表示校正集光谱数据矩阵,Ai表示第i个样品的光谱,通过最小二乘回归算法求得α和β。通过调整α和β,既可以减小光谱的差异性,又尽可能保留了原始光谱中和样品成分含量相关的有效信息。因此该算法大大提高了光谱的信噪比。
上一页 : 高光谱成像仪获取的光谱数据一般怎么分析?
下一页 : 器以载道丨高光谱遥感卫星:辨识大地的指纹
相关产品
-
强强联手:机载高光谱与LiDAR如何实现单木树种的精准识别?
中国林业科学院学者英文、庞勇等发表了题为《机载高光谱与LiDAR单木树种分类精度的影响因素分析》,为高光谱在林业烟感的应用起到了重要作用。重要内容概括如下:..
-
科学家在超构表面微型高光谱成像研究中取得进展
光谱是物质的基本属性之一,被视为物质的指纹。光谱成像通过记录不同空间位置的光谱来捕捉物质的空间和光谱信息,不仅可以感知物质的客观存在,还可以了解物质的组分。光谱..
-
高光谱分数阶微分在烟叶SPAD值估测中的应用
烟草作为中国的重要经济作物,科学化、精细化的管理对于提高烟草质量至关重要,烟草施肥、长势与品质的监管主要依据于烟草生化参数,叶绿素作为烟草主要生化参数之一,是叶..
-
高光谱成像仪获取的高光谱图像数据一般怎么分析?
高光谱成像仪器获取的光谱数据包含很多的无用信息,因此需要对其进行处理,以保证预测模型建立的准确性。那么,高光谱成像仪获取的高光谱图像数据一般怎么分析?本文对高光..













