高光谱数据预处理方法之多元散射校正法
发布时间:2025-12-18
浏览次数:281
高光谱成像仪获取的光谱信息有很多冗余信息,因此就需要提取特征波长,然后进行光谱数据的预处理,提取有用信息,保证预测模型的准确性。本文对高光谱数据预处理方法之多元散射校正法做了简要的介绍。
高光谱成像仪获取的光谱信息有很多冗余信息,因此就需要提取特征波长,然后进行光谱数据的预处理,提取有用信息,保证预测模型的准确性。本文对高光谱数据预处理方法之多元散射校正法做了简要的介绍。

多元散射校正(MSC)可有效地消除散射带来的光谱差异,从而增强光谱与数据之间的相关性,该方法通过理想光谱修正光谱数据的基线平移和偏移现象,具体实现方法如下:
1.计算平均光谱作为标准光谱

2.将每个样本的光谱与平均光谱进行线性回归运算,得到每个样本相对于标准光谱的尺度平移量和偏移量

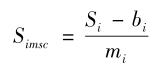
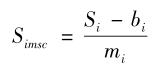
3.原始光谱减去求得的基线平移量后除以偏移量,得到校正后的光谱

式中:Pi,j—标准光谱矩阵;Si,j—原始光谱矩阵;n——样本数量;j——波段数量;Si—每个样本的光谱向量;mi—相对偏移系数;bi—平移量;Simsc——样本的MSC 校正光谱。
上一页 : 高光谱图像数据的预处理与数据特征分析方法
下一页 : 高光谱相机:防火材料研发与评估的“火眼金睛”
相关产品
-
高光谱到底是什么?高光谱成像=相机+光谱仪?
高光谱成像是一项融合光学、电子、算法等多学科技术的复杂系统,其价值远不止硬件的组合。本文将深入解析高光谱成像的技术本质,厘清常见认知误区,帮助您真正理解这一前沿..
-
高光谱相机波段选择指南:精准匹配应用需求的关键决策
面对市场上从可见光到短波红外的不同波段配置,许多用户面临一个核心问题:如何选择最适合的波段范围?波段选择不仅影响设备价格,更直接关系到检测效果和投资回报。本文将..
-
高光谱相机多少钱一台?高光谱相机价格解析
在工业检测、环境监测、精准农业等专业领域,高光谱相机凭借其\"图谱合一\"的技术优势,正成为越来越多企业的关键设备。那么,高光谱相机多少钱一台呢?本文简单发现了..
-
高光谱成像仪按照分光原理不同可以分为哪些类型?
分光系统是决定高光谱成像系统工作光谱范围和光谱分辨率本领等基本性能的首要因素,因此是成像系统的核心组成部分。那么,高光谱成像仪按照分光原理不同可以分为哪些类型?..













