高光谱成像仪光谱数据预处理方法之平滑法的类型
发布时间:2025-11-14
浏览次数:201
对高光谱数据进行预处理是提取特征波长、建立预测模型的前提,关于高光谱数据的预处理方法有很多,其中比较常见方法就包括平滑法。本文对高光谱成像仪光谱数据预处理方法之平滑法的类型做了简要的介绍。
对高光谱数据进行预处理是提取特征波长、建立预测模型的前提,关于高光谱数据的预处理方法有很多,其中比较常见方法就包括平滑法。本文对高光谱成像仪光谱数据预处理方法之平滑法的类型做了简要的介绍。

平滑算法可以有效地消除噪声,其中Savitzky-Golay平滑和Norris微分平滑是目前常用于光谱数据的去噪方法。
1.S-G平滑法
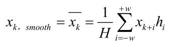
S-G卷积平滑是利用平滑点附近的若干个点,将这些点拟合或平均以求得该点的最佳估计值,来降低噪声、提高数据的信噪比。波长k处经平滑后的平均值为:

式中,h为平滑系数,H为归一化因子,H可基于最小二乘原理,用多项式拟合求得。
2.Norris导数平滑
Norris导数平滑可以使得样本光谱的峰值更加清晰。分段内的点数和分段间距影响平滑效果,应尽量合理选择分段点数和分段间距以使预处理效果最佳。
上一页 : 高光谱成像技术在病虫害精准防治中的应用
下一页 : 高光谱光谱特征波长的选择方法之遗传算法
相关产品
-
元旦快乐 | 新岁启幕,智测未来——三恩时与您共赴2026
钟声回荡,既是告别,亦是邀请。我们深深感恩过去一年每一份相遇、每一次托付与每一段同行。过往的成绩,已由时光精准记录;未来的华章,正待我们合力书写。 ..
-
高光谱成像系统的成像原理及光谱图像信息组成
高光谱成像系统因其获取的样本信息具有图谱合一的特定,因而在不同的行业有着广泛的应用,可以对样本进行定性与定量的分析。本文对高光谱成像系统的成像原理及光谱图像的做..
-
高光谱成像仪怎么用于草莓硬度的无损检测?
硬度是评价草莓品质的重要指标之一,对草莓的硬度进行检测,不仅可以指导消费者,而且对于草莓的采后贮藏和加工具有很重要的意义。那么,高光谱成像仪怎么用于草莓硬度的无..
-
高光谱图像数据基于纯像元的分析方法
高光谱成像仪获取的高光谱数据具有波段数多、光谱分辨率高、数据量大、数据率高等特点,巨大的数据量为应用和分析带来不便,因此就需要对高光谱数据进行处理。本文对高光谱..













