高光谱成像仪数据预处理方法之多元散射校正法
发布时间:2025-11-06
浏览次数:48
高光谱成像仪获取的光谱信息存在许多的无用信息,对高光谱数据进行预处理,可以对光谱数据进行优化,进而保证预测模型建立的准确性。本文对高光谱成像仪数据预处理方法之多元散射校正法做了介绍。
高光谱成像仪获取的光谱信息存在许多的无用信息,对高光谱数据进行预处理,可以对光谱数据进行优化,进而保证预测模型建立的准确性。本文对高光谱成像仪数据预处理方法之多元散射校正法做了介绍。

高光谱成像仪数据预处理方法之多元散射校正法原理:
多元散射校正法目的是校正所有光谱的散射同时获得较“理想”光谱,以消除散射对光谱的影响。MSC方法基于每一条光谱应当与“理想”光谱成线性关系的假设将校正集的平均光谱代替“理想”的光谱。因此,每个样品的任意一个波长点下的反射吸光度值与其平均光谱的相应吸光度的光谱都可以看作是近似的线性关系,通过光谱集线性回归可以获得直线的截距、斜率,以此来校正每一条光谱。样品独特的反射作用由截距的大小来反映,而样品的均匀性则通过斜率的大小反映。它的具体方法是:首先利用最小二乘法推定出和值,然后根据这个和值将未知粒度样品的光谱全部变换为假想的基准粒度的光谱。
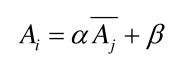
高光谱成像仪数据预处理方法之多元散射校正法式子:
多元散射校正线性回归方程可用下式表示:

式中:A表示校正集的光谱矩阵,Ai表示第i个样品的光谱,α和β的值可由PLS回归求出,通过调整α和β这两个值可以使光谱之间产生一定的差异。经过附加散射校正后的光谱并不能完全的代表样品的真实光谱,但是通过这样的校正,可以最大可能的消除随机变异。光谱与浓度线性关系较好、化学性质相似的情况下,MSC校正通常会取得较好的效果。
上一页 : 高光谱成像仪数据预处理方法之平滑法
下一页 : 高光谱成像仪数据预处理方法之标准正态变量校正法
相关产品
-
基于视觉大模型的高光谱遥感处理研究取得进展
与传统光学遥感相比,高光谱遥感图像具有数百个独立光谱波段,能够更精确地识别地表物质。然而,标注样本稀缺长期以来严重制约了其实际应用。现有研究普遍采用少样本学习范..
-
云冈石窟焕新开放 “高清立体照”解码千年色彩
..
-
高光谱成像仪和多光谱成像仪的区别
高光谱与多光谱成像技术代表了光学遥感领域的两个重要发展方向,在波段数量、光谱分辨率和应用场景上存在显著差异,共同构建了现代对地观测与物质识别的技术体系。本文简单..
-
高光谱成像仪怎么分类?高光谱成像仪的分类
高光谱成像仪可以通过光谱数据,对样本进行定性与定量的分析,因此在不同的行业有着广泛的应用。其依据光谱分辨率、工作方式及分光元件等的不同,可以分为不同的类型。本文..













